Awesome Kinematic Equations Khan Academy

As equações cinemáticas ajudam a resolver um exercício para uma variável desconhecida quando um objeto tem uma velocidade ou aceleração constante.
Kinematic equations khan academy. In this video we will solve 2 numerical on uniformly accelerated motion by using the three equations of motion kinematic equations v uat s ut 12 at2 and v2 u22asWe will calculate the time taken in the first numerical and distance in another. Este vídeo irá ajudar a escolher quais equações cinemáticas usar dependendo do tipo de exercício. This is the currently selected item.
Using the equations of motion to figure out things about falling objects. This video uses some basic calculus to derive the kinematics equations for uniform motion. Created by Mahesh Shenoy.
What Are The Kinematic Formulas. What I want to do in this video is think a little bit about what happens to some type of projectile maybe a ball a ball or rock if I were to throw it up straight up into the air so to do that and what I want to do is on a plot its distance relative to time so theres a few things that Im going to tell you about my throwing of the rock in the air well Ill have an initial velocity Ill have an. Using equations of motion 2 steps numerical Lets solve some numerical on uniformly accelerated motion which requires more than one step.
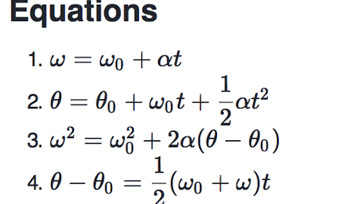
In this video David explains the rotational kinematic formulas and does a couple sample problems using themWatch the next lesson. The goal of this video is to explore some of the concepts or formulas you might see in a traditional physics class but even more importantly to see that theyre really just common-sense ideas so lets just lets just start with a simple example lets say that and for the sake of this video just so I stop dont have to keep saying this is the magnitude of the velocity this is the direction of. How to set up problems with constant acceleration and choose the best kinematic equation to solve for the target unknownView more lessons or practice this s.
This is the currently selected item. Thinking about the coefficients of static and kinetic friction. The equations can be utilized for any motion that can be described as being either a constant velocity motion an acceleration of 0 mss or a constant acceleration motion.
Toss an object from the top a building. A short quiz will follow. The kinematic equations are a set of four equations that can be utilized to predict unknown information about an objects motion if other information is known.